【MathType公式编辑器下载】MathType中文版 v7.4 免费激活版
软件介绍
MathType公式编辑器是一款专业实用的数学公式编辑工具软件,软件专门为理科生和数学物理老师所打造。软件可以帮助用户在各种文档文件中插入数学符号和公式,软件还可以和office系列软件完美兼容,可以编辑在数学试卷、论文、书籍中,更好的帮助用户完成自己的工作和论文中。
MathType公式编辑器的功能非常强大哦,用户可以使用软件在各种文档文件中输入你想要的数学符号和公式哦。软件内拥有所有的数学特殊符号,用户可以在各种office软件内输入,用户还可以轻松的修改字体和颜色。软件适用于任何的文字处理软件、页面程序、演示程序等。

软件特色
1.适用人群
学生、老师、理科专业工作者,理科生专用的必备工具,不论是简单的公式和符号,还是复杂的都可以轻松输入
2.兼容个版本office
MathType与Office有很好的兼容性,可与office办公软件或WPS配合使用
3.多平台支持
MathType数学公式编辑器适用于800+软件应用程序和网站建立公式
4.支持手写
“编辑”菜单中的“打开输入数学面板”支持手写输入公式,智能识别手写内容,轻触鼠标编写即可完成
5.自动化处理
MathType数学公式编辑器支持一键转换为Latex、Amslatex等代码,只需适当的修改就完成公式的编辑任务
软件功能
1、手动输入数学
输入方程式就像用纸和笔写数学一样容易!此功能使用Windows 7及更高版本中的内置手写识别功能。
2、使用自动格式化的点击式编辑
通过从该软件的调色板中选择模板并键入其空插槽,快速创建方程式。 它在您键入时自动应用数学间距规则。
3、键盘快捷键
使用键盘快捷键节省时间。 它具有可自定义的键盘快捷键,几乎可用于每个符号,模板和命令。
4、键入TeX或LaTeX
如果您已经知道TeX排版语言,则可以直接在MathType或Microsoft Word文档中输入方程式。 TeX编辑可以与点击编辑混合使用,这样您就可以获得两全其美的效果。您甚至以粘贴现有TeX文档中的方程式。
5、复制和粘贴
如果您创建了一个该软件等式用于另一个应用程序或在网站上找到一个,为什么要花时间再次手动创建它?只需将其直接复制并粘贴到该软件中即可编辑或在您的工作中使用。
6、在工具栏中保存表达式
将常用的公式和表达式拖到这款软件工具栏中,以便稍后只需单击或按键即可插入它们。
7、数学手写识别
允许在Word和该编辑器中手写数学标记
通过结合软件中手写的子表达式来构造更庞大的方程式
在手写处允许使用鼠标、写字板和触摸屏
数学手写识别
8、该软件软件兼容800多个应用程序及网站
生活处处皆数学
该软件软件和网站的兼容性数据
插入对象(对象链接和嵌入)
剪切、复制和粘贴
从电子表格、文档和网页粘贴制表作为该软件的一个矩阵
拖放
方程图像文件
MathML、TeX、LaTeX导入和导出
翻译TeX、MathML、Maple、Mathematica、MATLAB、Gmail、物理论坛以及更多内容
9、MathType和Word
支持Word办公
兼容Word 2013、2010、2007
兼容Word 2003和XP 2002
改变文档中方程式的字体等格式
生成好看且易理解的数学网页
在有关联性的或分散的窗口编辑方程式
在Word里使用键盘来创建和编辑方程式
在Word以TeX方式直接输入方程式
方程编号方式
在文档中查看所有方程式和方程编号
导出文档中所有方程式到TeX/LaTeX、MathML、EPS、GIF文件
10、MathType和PPT
兼容PPT 2013、2010、2007
支持PPT 2003和XP 2002
在描述中查看所有方程式
11、它针对使用TeX/LaTeX人群的特色
在Word以TeX方式直接输入方程式
将TeX输入和点击编辑相融合
从现有文档中粘贴TeX
导出方程式到TeX/LaTeX
自定义翻译
12、更多特色
更多数学符号和字体
方程式全部或部分着色
自定义键盘快捷方式
保存方程式为GIF、EPS、WMF、PICT格式的图片文件
无限制撤销和重做
支持ViewPlus盲文数学系统
支持国际性字符输入
输入时自动变换格式
增加或删除矩阵/表格中的行或列
保存常用方程式和表达式后只需点击或按键即可重复使用
导出到MathML
自定义函数识别
三种查看视图尺寸的工具栏
MathType公式编辑器安装步骤
1、用户可以选择免费使用MathType30天,后点击下一步

2、为MathType选择合适的安装位置进行安装

3、安装时间不长耐心等待即可

MathType公式编辑器使用方法
在我们的日常工作中,经常会使用和编辑到数学公式,mathtype作为一个专业的数学公式编辑器,有着强大的功能,能够轻松地在文档中输入复杂的数学、物理公式和符号!是理科生必备工具!
那么我们该怎么使用这个软件编辑数学公式呢。接下来小编就带大家了解如何使用mathtype7来编辑数学公式。
首先打开公式编辑器,进行公式编辑。首先我们需要熟悉一下编辑模板上有哪些公式,这些公式的位置在哪里。熟悉了之后再进行公式编辑的时候会更流畅 自如。

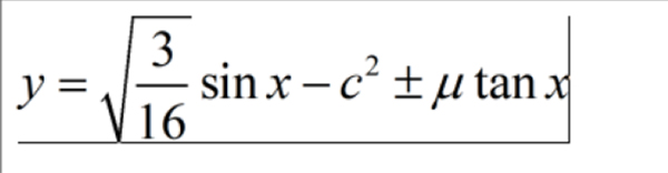
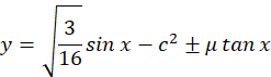
然后开始公式编辑,在这里我以

为例。接下来就是向大家讲解如何使用mathtype7来编辑这个公式。
1、先打出“y=”
2、接下来需要找到根号√的位置。选择√工具,然后我们需要在√的里面输入3/16,先找到“-”工具后在相应的位置输入相应的数字。公式模板具体位置如图所示:

3、然后sinx只需要直接输入就可以了,不需要模板。下一步我们要找到的模板是幂函数,点击相应的模板,输入数字2就可。里面的模板里都有一个黑点,黑点的位置就是等会儿需要输入数字的位置。所以这里面需要看清楚黑点的位置。不要选错了。

4、然后需要输入±号,这个公式的模板位置如图所示:

5、下一步是找到希腊字母μ,这个字母的位置如图所示,在这个模板里面基本上都是希腊字母。

6、最后只需要直接输入tanx就行了。让我们看一下最后公式编辑的效果。

这个公式的编辑过程讲述完了。可以看到,除了我讲的这些公式模板,还有很多其它的公式模板,只是我们这次没有使用上。但是使用方法都是一样的。大家可以用鼠标挨个点击看看都有哪些公式模板,记住它们的位置下次使用时候就能得心应手。
总的来说,MathType确实是一款优秀的公式编辑器,操作十分简单,模板量丰富。只要大家熟悉模板位置就能很快地把公式编辑出来。
MathType公式编辑器常见问题
MathType与公式编辑器
1. MathType和公式编辑器有什么区别?
简单的答案是,本网站上讨论的所有功能都是MathType专有的,或者在公式编辑器中的相同功能上得到显着改进。自从我们于1991年将其授权给微软后,公式编辑器没有发生重大变化。另一方面,MathType不断升级和改进。
2.其他不使用MathType的人是否可以阅读我的等式?
Windows用户需要下载并安装我们网站上免费分享的MathType字体。另外,Mac和Windows用户都可以下载我们免费的MathType 30天试用版,该试用版将安装字体并作为更好的公式编辑器工作,即使在30天后。
3.我能用公式编辑器编辑MathType方程吗?
不,但如果您下载免费的MathType 30天试用版,您将可以编辑所有MathType方程式。在试用期结束时,MathType将恢复为MathType Lite,您将始终能够查看和编辑MathType和公式编辑器方程。
4.如果我安装MathType的30天演示并决定不购买它,我可以重新使用公式编辑器吗?
是的,如果你愿意。但是,您应该知道,在30天试用期后,MathType将变为MathType Lite,这比公式编辑器更好。您可以保留所有MathType的附加字体,让您与MathType和公式编辑器用户进行协作。 MathType Lite永远是免费的。
5.如何在等式中输入空格?为什么当我点击空格键时会发出哔哔声?
根据数学排版规则,MathType会自动应用间距。这涉及6个不同的空间宽度,其中没有一个是普通空间的宽度。由于人们习惯于在打字时敲击空格键,所以在输入数学时我们将其禁用。但是,MathType也有一个文本模式,它允许您在方程中间键入简单的英语短语或句子。当然,空格键在文本模式下工作。
购买MathType
6.我可以在哪里购买MathType以及哪些付款方式可供使用?
您可以通过我们的网上商店直接购买Design Science,也可以致电我们的办事处,从我们的经销商或大学书店购买。如果直接向我们订购,我们接受主要信用卡(Visa,MasterCard,American Express,Discover),支票,电汇和购物订单作为付款。
7.你分享学术折扣吗?
是。对于学术机构的教职员工和学生,MathType仅为57美元。升级费用为37美元。您可以在我们的网上商店或通过致电我们的办公室获得折扣。
8.我有Windows和Macintosh电脑。我需要购买两份单独的副本吗?
您需要为Windows和Macintosh购买单独的副本,但如果您同时购买这两个副本,我们确实会分享折扣。例如,如果您购买Windows版本,则可以49美元购买Macintosh版本,反之亦然。您可以通过我们的网上商店购买。
9.我可以在多台计算机上安装MathType吗?
是的,如果您购买MathType的单用户副本,则只要您一次只在其中一个计算机上使用它,就可以将其安装在所有计算机上。将它安装在办公室电脑和笔记本电脑上是允许的 – 将它安装在朋友或同事的电脑上不是。
10.多久我会收到我的MathType软件?
当您从我们的网站购买并下载时,您将在几分钟内启动并运行MathType。
11.我在哪里可以找到我的产品密钥(有时称为“注册号码”)?
如果您从我们的网上商店订购,您的产品密钥就在您的收据上。如果您是从授权经销商处订购的,应该从您收到的确认中获得。您也可以从MathType帮助菜单中选择“关于MathType”,但这样做不会为您分享重新安装所需的完整产品密钥。最后5位数字将出于安全目的而被遮蔽,但如果您正在撰写技术支持,则这已足够。如果您需要重新安装MathType并且没有完整的产品密钥,请联系我们的客户服务人员,以便我们可以进行数据库搜索。
12.我的MathType副本非常老。我有资格获得升级折扣吗?
是的,无论您的MathType副本有多旧,您都有资格获得升级折扣。
更新日志
1.MathType数学公式编辑器完美兼容Windows 10操作系统;
2.可在Office2016、Office 365上运行;
3.新增兼容800+软件应用程序和网站;
4.其中的MathPage支持MathJax技术;
5.MathType数学公式编辑器支持数学手写识别;
6.新增支持更多数学符号和字体;
7.MathType数学公式编辑器增加更多保存格式。
下载仅供下载体验和测试学习,不得商用和正当使用。



发表评论